설군의연구소
물리 2 - 운동량 보존 법칙 본문
안녕하세요, 설군입니다.

운동량 보존 법칙에 대해서 다룰것입니다.
일차원에서 운동량 보존 법칙 예제를 풀어보며 이해하고,
평면 상에서 x축 따로 y축 따로 운동량 보존 법칙을 적용하는 것을 다뤄볼것입니다.
|
|
운동량은 질량 m을 가진 어떤 물체가 속도 v(벡터)로 운동할때 그 물체는 운동량을 가졌다고 표현하며,
그 물체가 가진 운동량의 크기를 위의 식과 같이 표현합니다.
충격량은 물체에 t라는 시간동안 F라는 힘을 가했을 때, '물체가 받은 충격량은 몇이다' 이런 식으로 표현하며
그 물체가 힘을 받는 시간과 그 힘벡터의 곱으로 나타냅니다.
여기서 중요한 건 충격량 = 운동량의 변화량 이라는 것.
예제를 봅시다.
어떤 3 kg짜리 물체가 4 m/s로 오른쪽으로 달리고 있습니다.
이때 오른쪽 방향의 3 N의 힘을 5초동안 가해준 상황을 살펴봅시다.

3 kg인 물체가 4 m/s의 속도로 달리고있다면, 이 물체의 운동량은 오른쪽 방향으로 12입니다. (단위는 생략하겠습니다)
이 물체에 3 N의 힘을 5초동안 오른쪽으로 가해준다면
상식적으로 보았을때에는 물체에 힘이 가해졌으므로 속도가 커질것이고
따라서 물체의 운동량도 증가할것입니다.
얼마만큼 운동량이 증가하느냐? 이것이 바로 충격량입니다.
충격량의 크기만큼 운동량이 증가합니다.
따라서 충격량은 15(오른쪽) 이므로
물체가 힘을 받은 후의 운동량은 27이 됩니다.
물론 운동량의 방향은 오른쪽입니다.
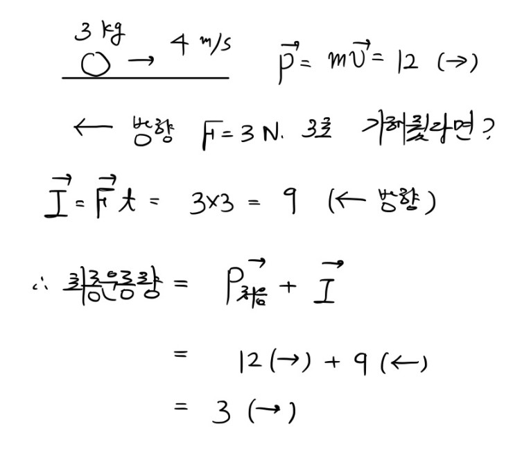
그렇다면 운동량의 방향과 힘의 방향이 다른 경우라면?
예를 들어, 오른쪽으로 운동하던 물체에 왼쪽으로 힘을 가해주는 상황이라면?
역시 똑같이 벡터적으로 계산해주면 됩니다.
벡터적으로 계산한다는 것은 방향을 고려해서 더한다는 이야기입니다.
3 kg물체가 오른쪽으로 4 m/s로 달리고 있을 때
왼쪽으로 3 N의 힘을 3초동안 가한 상황입니다.

처음에 3 kg의 물체가 4 m/s의 오른쪽 방향으로 달리고있다면
운동량은 오른쪽 방향으로 12이죠.
이때 반대방향 즉 왼쪽방향으로 힘을 3 N을 3 초동안 가해준다면
이때 물체가 받는 충격량은 왼쪽으로 9 이고요.
따라서 물체가 힘을 받은 후, 최종 운동량은 오른쪽으로 3이 됩니다.
만약 물체가 힘을 받은 이후 최종 속력을 구하라고 한다면?
우리는 운동량도 알고 있고, 질량도 알고 있으므로
운동량=질량*속도 라는 식에서 이끌어서 속도를 구할 수 있습니다.
# 힘-시간 그래프

힘-시간 그래프에서의 넓이는 바로 충격량을 말합니다. 즉 F를 t에 대해 적분했다는 것이죠.
운동량 보존법칙은 어떤 계에서 외력이 가해지지 않았을 때 운동량이 보존된다는 것인데.
충돌 전의 운동량과 충돌 후의 운동량이 같다는 것입니다.
다음과 같이 그림으로 이해하면 쉽습니다.

계라는 건 우리가 집중하고자하는 물체가 있는 공간입니다
일종의 실험실 공간이라고 보면 좋죠
검정공과 하얀공 둘이 하나의 계입니다.
계의 운동량이라는건, 두 공의 운동량을 벡터적으로 더한것이죠
외력이라는 건 두 공끼리 주고받는 힘은 아니고
다른 제3의 사람이나 물체가 두 공에게 주는 힘을 외력이라고 합니다.
두 공끼리 주고받는 힘은 내력이라고 합니다.
원래 물리학에서는 숫자위에 화살표로 방향을 나타내지 않으므로
부호를 이용한 방향표기를 합니다.
보통 오른쪽을 +방향으로 놓고 왼쪽을 -방향으로 놓습니다.
(좌표 평면처럼)
사실 이 문제는 오류입니다.
실제로 저런 상황은 발생하지 않습니다.
가벼운 질량을 가진 녀석이 느린 속도로,
무거운 질량을 가진 녀석이 빠른 속도로,
위의 상황처럼 서로 다가오며 충돌했을 때
서로 멀어지는 방향으로 가지 않습니다.
무거운 질량을 가진 녀석이 오른쪽으로 밀면서 가벼운 질량을 가진 녀석도 오른쪽으로 가겠죠.
이걸 어떻게 판단하느냐?
저는 에너지로 판단하여 이 문제가 오류가 있다고 판단하였습니다.
# 탄성 충돌과 비탄성 충돌, 운동 에너지가 보존되냐 or 보존되지 않느냐
탄성 충돌은 충돌 후 운동에너지가 보존되는 충돌이고
비탄성 충돌은 운동 에너지가 보존되지 않는 충돌입니다.
이를테면 소리나 열로 전환되는것이죠.
일상생활에서의 충돌은 대부분 비탄성 충돌입니다. 당구공의 경우 부딪칠 때 소리가 나는걸 보아 비탄성충돌이라고 생각하는것도 맞고요.
두 충돌 모두 운동량은 보존됩니다.
즉 무슨 상황에서든지 운동량은 항상 보존됩니다.
# 평면에서의 충돌과 운동량 보존 법칙
포물선 운동에서 우리가 x축방향의 운동과
y축방향의 운동을 나누어서 생각했던 것처럼
평면에서의 충돌도 역시 x축방향 운동성분과 y축방향 운동성분을 나누어 생각하면 됩니다.


충돌 전의 x축 방향 성분의 운동량 = 충돌 후의 x축 방향 성분의 운동량
충돌 전의 y축 방향 성분의 운동량 = 충돌 후의 y축 방향 성분의 운동량
이렇게 식을 세워 비교하면 됩니다.
문제를 풀 때에 특히 탄성 충돌의 경우 에너지가 보존되므로 에너지에 관한 식을 또 세우면 식이 두개가 나오죠.

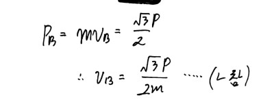
위 문제는 수능특강 문제입니다.
탄성 충돌을 하였고, 충돌 전 A의 운동량은 p이고 충돌 전 B는 정지해있으므로
충돌 전의 총 운동량은 p이긴 한데 각도가 있네요.


ㄷ은 쉽습니다.
A의 운동에너지가 충돌 전과 후 어떻게 다른지 비교하라그랬는데.
운동에너지 식에는 질량이 들어가는데, 어차피 A의 질량은 안 변하므로 속력만 보면 됩니다.
제곱인걸 유의하자면, 처음속력과 나중속력을 각각 제곱해주고 보면된다는거죠.
속력은 어떻게 구하냐하면 운동량을 보면 됩니다.
처음 운동량과 나중 운동량은 우리가 아까 구해놨죠.
(ㄱ참)인것에서 보면 A의 처음운동량이 p이고
A의 나중운동량은 pa 로 나타냈는데
따라서 처음운동량 : 나중운동량 = 2 : 1 입니다.
운동량 식에서 질량이 들어있는데, 질량은 A가 변하지 않으므로 일정하고
따라서 운동량 비는 속력비입니다.
속력의 비가 2:1인것이고. 속력의 제곱의 비는 4:1이므로
운동량의 비도 4:1입니다. 따라서 ㄷ은 틀립니다.

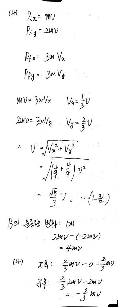
이것도 똑같습니다. 처음 운동량, 나중 운동량 식을 세워주면 되고
각각 x축, y축 방향으로 같다고 놓고 분석하면 되는것입니다.


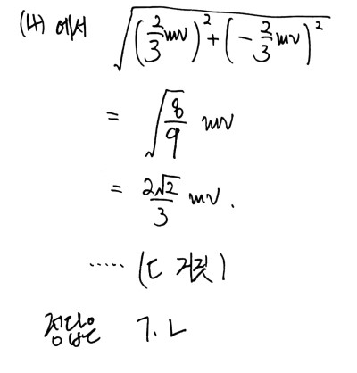
여기서 운동량의 변화량 = 충격량이므로
B의 충격량을 물었으므로 운동량의 변화량을 따져줬습니다.
(가)에서는 4mv라는 크기가 나왔고
(나)에서는 x축 따로 y축 따로 계산되었으므로
다음과 같이 제곱 더하기 제곱 에 루트씌워준 것으로 크기를 계산합니다.

운동량 보존 법칙도 아마 물리 2 20번으로 나오는경우가 있는걸로 알고있습니다.
시험당일에 시험지도 좁은데 식도여러개고 풀다보면 머리가뽀개집니다.......

'물리학 > 고등물리학' 카테고리의 다른 글
| 물리 2 - 단진동, 용수철 진자, 단진자 (0) | 2020.03.12 |
|---|---|
| 물리 2 - 가속 좌표계 (0) | 2020.03.12 |
| 고등학교 물리학 1, 물리학 2 2015 개정 교육과정에 대하여 (0) | 2020.03.12 |
| 물리 2 - 등속 원운동 (0) | 2020.03.11 |
| 물리 2 - 포물선 운동 (0) | 2020.03.11 |